Новости

Тишина после пожара: почему дырявый клапан опаснее, чем кажется

Представьте: вспыхивает пожар. Срабатывает система дымоудаления, и стальные створки противопожарного клапана должны герметично захлопнуться, создав непроницаемый барьер на пути

Представьте: вспыхивает пожар. Срабатывает система дымоудаления, и стальные створки противопожарного клапана должны герметично захлопнуться, создав непроницаемый барьер на пути огня и угарного газа. Это последний рубеж обороны, отсекающий огненную стихию от путей эвакуации.
Но что, если этот щит предательски дыряв?

Согласно СП 73.13330.2016, герметичность — это не абстрактное понятие, а жизненно важный параметр. Речь идет о герметичности всей системы с установленными противопожарными клапанами. Каждый неплотно закрытый клапан — это брешь в противопожарной преграде, через которую ядовитый дым устремляется в коридоры и лестничные клетки, превращая их в смертельные ловушки. По сути, такой клапан не выполняет свою единственную функцию, создавая прямую угрозу для жизни людей.

Суровая реальность российского рынка

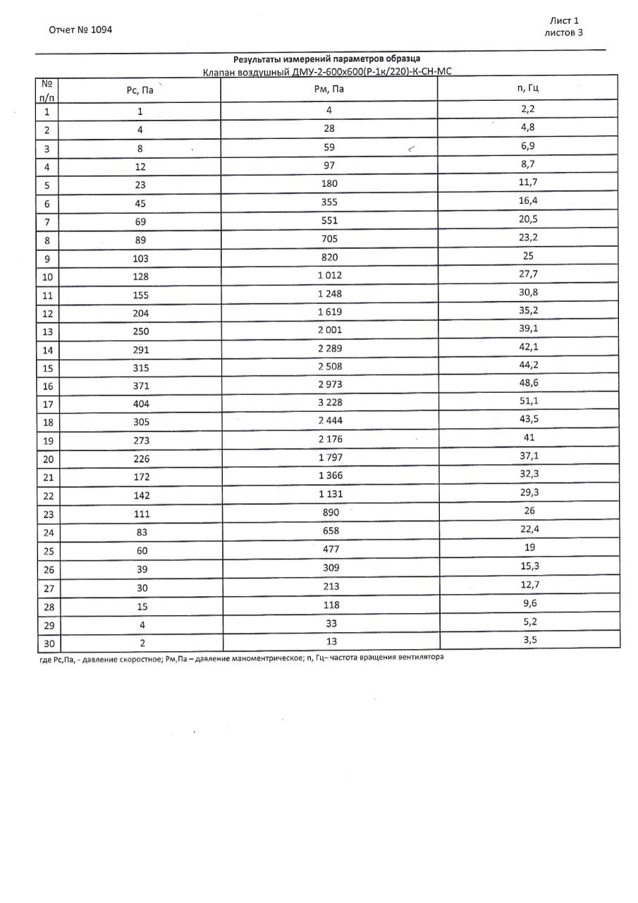
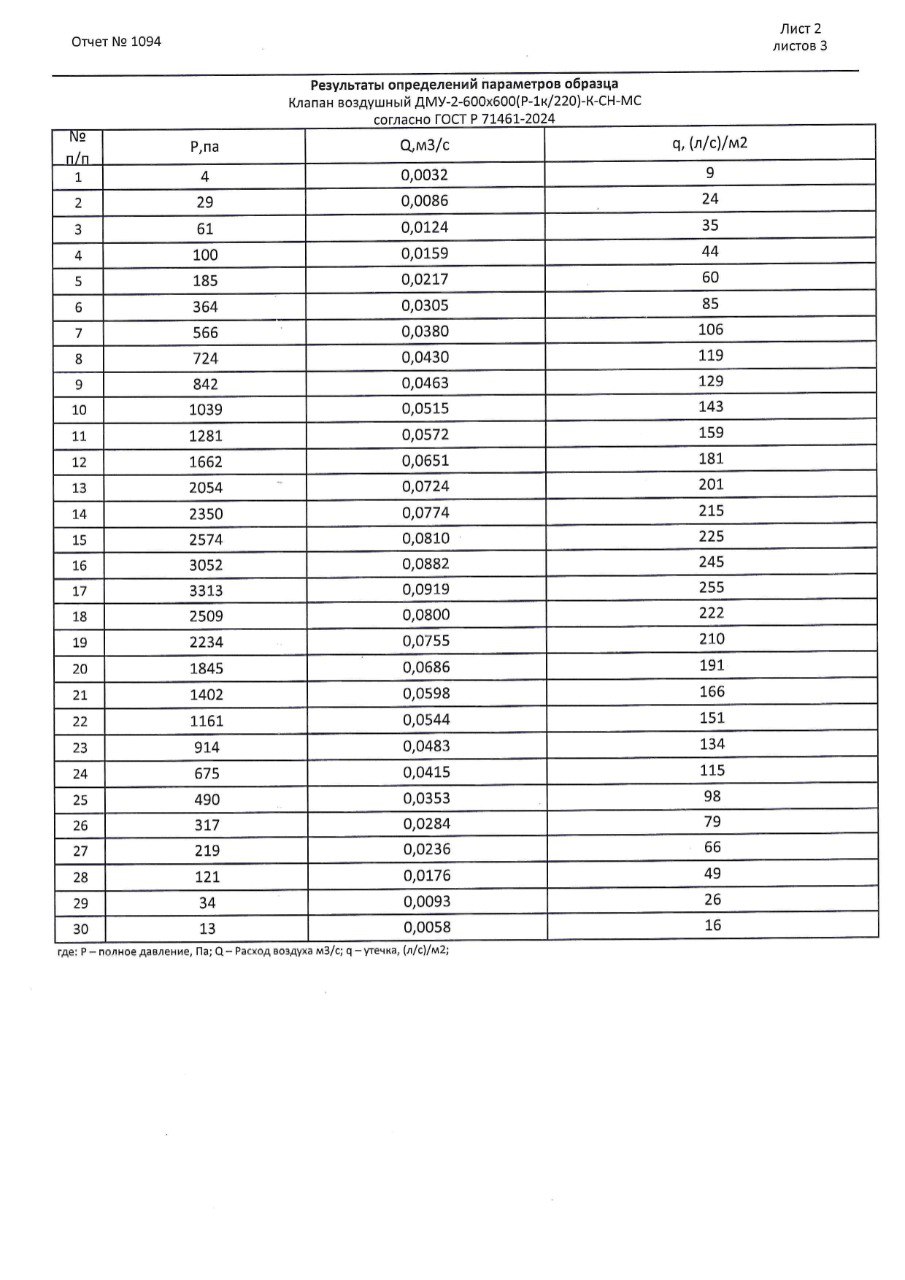
Здесь мы сталкиваемся с тревожным парадоксом. Проведенные нами измерения показывают, что подавляющее большинство противопожарных клапанов на российском рынке имеют конструктивные недостатки, ведущие к низкой герметичности — проще говоря, они «с дырками». Эти микроскопические на первый взгляд щели в момент пожара становятся фатальными.

Есть ли исключения? Да. На сегодняшний день компания «Ровена» является одним из немногих производителей, чья продукция демонстрирует соответствие высокому классу герметичности «В». Их клапаны — это именно те надежные стальные барьеры, которые и должны стоять на страже безопасности.

Вопрос, от которого зависят жизни

Так почему же, кроме «Ровена», мы не знаем фирм гарантирующие герметичность своей продукции класса В? Этот вопрос следует задавать не только производителям, но и проектировщикам, монтажникам и заказчикам. Выбирая оборудование, мы должны требовать доказательств его надежности. Ведь когда счет идет на секунды, цена компромисса с герметичностью оказывается слишком высока.

Заказ обратного звонка

Оставьте свой телефон и мы перезвоним в удобное для вас время!